你好,我是黄申。
今天,我们来聊另一种降维的方法,SVD奇异值分解(Singular Value Decomposition)。它的核心思路和PCA不同。PCA是通过分析不同维度特征之间的协方差,找到包含最多信息量的特征向量,从而实现降维。而SVD这种方法试图通过样本矩阵本身的分解,找到一些“潜在的因素”,然后通过把原始的特征维度映射到较少的潜在因素之上,达到降维的目的。
这个方法的思想和步骤有些复杂,它的核心是矩阵分解,首先,让我们从方阵的矩阵分解开始。
在解释方阵的分解时,我们会用到两个你可能不太熟悉的概念:方阵和酉矩阵。为了让你更顺畅的理解整个分解的过程,我先给你解释下这两个概念。
方阵(Square Matrix)是一种特殊的矩阵,它的行数和列数相等。如果一个矩阵的行数和列数都是n,那么我们把它称作n阶方阵。
如果一个矩阵和其转置矩阵相乘得到的是单位矩阵,那么它就是一个酉矩阵(Unitary Matrix)。
\(X’X=I\)
其中X’表示X的转置,I表示单位矩阵。换句话说,矩阵X为酉矩阵的充分必要条件是X的转置矩阵和X的逆矩阵相等。
\(X’=X^{-1}\)
理解这两个概念之后,让我们来观察矩阵的特征值和特征向量。前两节我们介绍了,对于一个n×n维的矩阵\(X\),\(n\)维向量\(v\),标量\(λ\),如果有\(Xv=λv\)。
那么我们就说\(λ\)是\(X\)的特征值,\(v\)是\(X\)的特征向量,并对应于特征值\(λ\)。
之前我们说过特征向量表示了矩阵变化的方向,而特征值表示了变化的幅度。实际上,通过特征值和特征矩阵,我们还可以把矩阵X进行特征分解(Eigendecomposition)。这里矩阵的特征分解,是指把矩阵分解为由其特征值和特征向量表示的矩阵之积的方法。如果我们求出了矩阵\(X\)的\(k\)个特征值\(λ1,λ2,…,λn\),以及这\(n\)个特征值所对应的特征向量\(v1,v2,…,vn\),那么就有\(XV=VΣ\)。
其中,\(V\)是这\(n\)个特征向量所张成的n×n维矩阵,而Σ为这n个特征值为主对角线的n×n维矩阵。进一步推导,我们可以得到:
\(XVV^{-1}=VΣV^{-1}\)- \(XI=VΣV^{-1}\)- \(X=VΣV^{-1}\)
如果我们会把\(V\)的这\(n\)个特征向量进行标准化处理,那么对于每个特征向量\(V\_i\),就有\(||V\_i||\_2=1\),而这表示\(V’\_iV\_i=1\),此时V的n个特征向量为标准正交基,满足\(V’V=I\) , 也就是说V为酉矩阵,有\(V’=V^{-1}\) 。这样一来,我们就可以把特征分解表达式写作\(X=VΣV’\)。
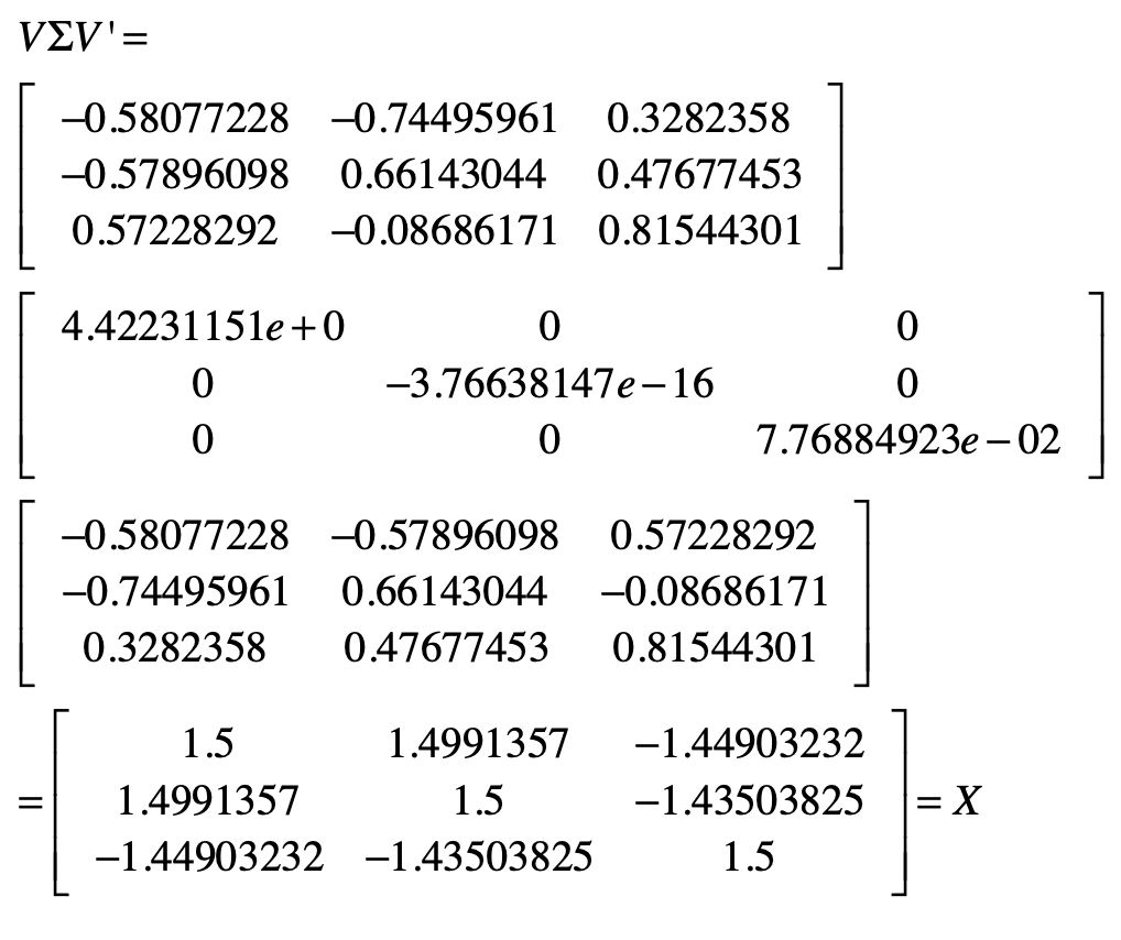
我们以介绍PCA分析时所用的矩阵为例,验证矩阵的特征分解。当时,我们有一个:

下面我们需要证明\(X=VΣV’\)成立,我把推算的过程写在下面了。

讲到这里,相信你对矩阵的特征分解有了一定程度的认识。可是,矩阵\(X\)必须为对称方阵才能进行有实数解的特征分解。那么如果\(X\)不是方阵,那么应该如何进行矩阵的分解呢?这个时候就需要用到奇异值分解SVD了。
SVD分解和特征分解相比,在形式上是类似的。假设矩阵\(X\)是一个m×n维的矩阵,那么\(X\)的SVD为\(X=UΣV’\)。
不同的地方在于,SVD并不要求要分解的矩阵为方阵,所以这里的\(U\)和\(V’\)并不是互为逆矩阵。其中\(U\)是一个m×m维的矩阵,\(V\)是一个n×n维的矩阵。而\(Σ\)是一个m×n维的矩阵,对于\(Σ\)来说,只有主对角线之上的元素可以为非\(0\),其他元素都是\(0\),而主对角线上的每个元素就称为奇异值。\(U\)和\(V\)都是酉矩阵,即满足\(U’U=I,V’V=I\)。
现在问题来了,我们应该如何求出,用于SVD分解的\(U,Σ和V\)这三个矩阵呢?之所以不能使用有实数解的特征分解,是因为此时矩阵X不是对称的方阵。我们可以把\(X\)的转置\(X’\)和\(X\)做矩阵乘法,得到一个n×n维的对称方阵\(X’X\)。这个时候,我们就能对\(X’X\)这个对称方阵进行特征分解了,得到的特征值和特征向量满足\((XX’)v\_i=λ\_iv\_i\)。
这样一来,我们就得到了矩阵\(X’X\)的\(n\)个特征值和对应的\(n\)个特征向量\(v\)。通过\(X’X\)的所有特征向量构造一个n×n维的矩阵\(V\),这就是上述SVD公式里面的\(V\)矩阵了。通常我们把\(V\)中的每个特征向量叫作\(X\)的右奇异向量。
同样的道理,如果我们把X和X’做矩阵乘法,那么会得到一个m×m维的方阵XX’。由于XX’也是方阵,因此我们同样可以对它进行特征分解,得到的特征值和特征向量满足\((XX’)u\_i=λ\_iu\_i\)。
类似地,我们得到了矩阵\(XX’\)的m个特征值和对应的m个特征向量\(u\)。通过XX’的所有特征向量构造一个m×m的矩阵\(U\)。这就是上述SVD公式里面的\(U\)矩阵了。通常,我们把U中的每个特征向量叫作X的左奇异向量。
现在,包含左右奇异向量的\(U\)和\(V\)都求解出来了,只剩下奇异值矩阵\(Σ\)了。之前我提到,\(Σ\)除了对角线上是奇异值之外,其他位置的元素都是\(0\),所以我们只需要求出每个奇异值\(σ\)就可以了。这个解可以通过下面的公式推导求得:
\(X=UΣV’\)- \(XV=UΣV’V\)
由于\(V\)是酉矩阵,所以\(V’V=I\),就有:
\(XV=UΣI\)- \(XV=UΣ\)- \(Xv\_i=σ\_iu\_i\)- \(σ\_i=\\frac{Xv\_i}{u\_i}\)
其中\(v\_i\)和\(u\_i\)都是列向量。一旦我们求出了每个奇异值\(σ\),那么就能得到奇异值矩阵\(Σ\)。
通过上述几个步骤,我们就能把一个mxn维的实数矩阵,分解成\(X=UΣV’\)的形式。说到这里,你可能会疑惑,把矩阵分解成这个形式有什么用呢?实际上,在不同的应用中,这种分解表示了不同的含义。下面,我会使用潜在语义分析的案例,带你看看,在发掘语义关系的时候,SVD分解起到了怎样的关键作用。
在讲向量空间模型的时候,我解释了文档和词条所组成的矩阵。对于一个大的文档集合,我们首先要构造字典,然后根据字典构造每篇文档的向量,最后通过所有文档的向量构造矩阵。矩阵的行和列分别表示文档和词条。基于这个矩阵、向量空间中的距离、余弦夹角等度量,我们就可以进行基于相似度的信息检索或文档聚类。
不过,最简单的向量空间模型采用的是精确的词条匹配,它没有办法处理词条形态的变化、同义词、近义词等情况。我们需要使用拉丁语系的取词根(Stemming)操作,并手动建立同义词、近义词词典。这些处理方式都需要人类的语义知识,也非常依赖人工的干预。另外,有些词语并不是同义词或者近义词,但是相互之间也是有语义关系的。例如“学生”“老师”“学校”“课程”等等。
那么,我们有没有什么模型,可以自动地挖掘在语义层面的信息呢?当然,目前的计算机还没有办法真正理解人类的自然语言,它们需要通过大量的数据,来找到词语之间的关系。下面我们就来看看潜在语义分析LSA(Latent Semantic Analysis)或者叫潜在语义索引LSI(Latent Semantic Index)这种方法,是如何做到这点的。
和一般的向量空间模型有所不同,LSA通过词条和文档所组成的矩阵,发掘词和词之间的语义关系,并过滤掉原始向量空间中存在的一些“噪音”,最终提高信息检索和机器学习算法的精确度。LSA主要包括以下这些步骤。
第一步,分析文档集合,建立表示文档和词条关系的矩阵。
第二步,对文档-词条矩阵进行SVD奇异值分解。在LSA的应用场景下,分解之后所得到的奇异值σ对应了一个语义上的“概念”,而\(σ\)值的大小表示这个概念在整个文档集合中的重要程度。\(U\)中的左奇异值向量表示了每个文档和这些语义“概念”的关系强弱,\(V\)中的右奇异值向量表示每个词条和这些语义“概念”的关系强弱。所以说,SVD分解把原来的词条-文档关系,转换成了词条-语义概念-文档关系。
我画了一张图帮助你理解这个过程。

在这张图中,我们有一个7×5维的矩阵\(X\),表示7个文档和5个单词。经过SVD分解之后,我们得到了两个主要的语义概念,一个概念描述了计算机领域,另一个概念描述了医学领域。矩阵U描述文档和这两个概念之间的关系,而矩阵\(V’\)描述了各个词语和这两个概念之间的关系。如果要对文档进行检索,我们可以使用\(U\)这个降维之后的矩阵,找到哪些文档和计算机领域相关。同样,对于聚类算法,我们也可以使用U来判断哪些文档属于同一个类。
第三步,对SVD分解后的矩阵进行降维,这个操作和PCA主成分分析的降维操作是类似的。
第四步,使用降维后的矩阵重新构建概念-文档矩阵,新矩阵中的元素不再表示词条是不是出现在文档中,而是表示某个概念是不是出现在文档中。
总的来说,LSA的分解,不仅可以帮助我们找到词条之间的语义关系,还可以降低向量空间的维度。在这个基础之上再运行其他的信息检索或者机器学习算法,就更加有效。
之前介绍的PCA主成分分析,要求矩阵必须是对称的方阵,因此只适用于刻画特征之间关系的协方差矩阵。但是,有的时候我们需要挖掘的是样本和特征之间的关系,例如文档和词条。这个时候矩阵并不是对称的方阵,因此无法直接使用PCA分析。
为此,SVD奇异值分解提供了一种可行的方案。它巧妙地运用了矩阵X和自己的转置相乘,生成了两种对称的方阵,并通过这两者的特征分解,获得了SVD中的左奇异向量所组成的矩阵U和右奇异向量所组成的矩阵V,并最终推导出奇异值矩阵Σ。这样,SVD就可以对原始的数据矩阵进行分解,并运用最终的奇异向量进行降维。
我们可以把SVD运用在很多场合中,在不同的应用场景下,\(U,V\)和\(Σ\)代表了不同的含义。例如,在LSA分析中,通过对词条和文档矩阵的SVD分解,我们可以利用Σ获得代表潜在语义的一些概念。而矩阵\(U\)表示了这些概念和文档之间的关系,矩阵\(V\)表示了这些概念和单个词语之间的关系。
请使用你自己熟悉的语言实现SVD分解。(提示:如果使用Python等科学计算语言,你可以参考本节所讲述的矩阵分解步骤,也可以使用一些现成的科学计算库。)
欢迎留言和我分享,也欢迎你在留言区写下今天的学习笔记。你可以点击“请朋友读”,把今天的内容分享给你的好友,和他一起精进。
© 2019 - 2023 Liangliang Lee. Powered by gin and hexo-theme-book.